服务热线: 021-60345313

联系我们

上海联本精细化工有限公司

 

联系人:党经理

手机:18930352591

           13671625729

 

电话:021-60345313

邮箱:ddf@linebon.net

地址 :上海嘉定区沪宜公路1101号1号楼

 www.linebchem.com

新闻资讯

当前位置:首页> 新闻动态
荧光增白剂的发展历史
* 来源: 联本 * 作者: admin * 发表时间: 2016-03-23 9:50:21 * 浏览: 1336
许多材料,例如纤维,可分为两类,天然纤维(棉、毛、亚麻和丝绸等)和合成纤维(聚酰胺、聚酯和聚丙烯腈等),都不是完全的白色,随着时间的推移会泛黄或呈现更深的颜色。如何消除物体表面的黄色有多种方法,在1852年杰出的物理学家GG.Stokes详细地叙述了荧光定律,它是荧光增白新方法的理论基础。G.G.Stokes证明,许多物质在吸收光线后,会发出强烈的辐射,而在分子内部没有发生任何化学变化。这一现象被称作荧光(Fluorescence)或光激发光(Photoluminescence)。
在1921年V.Lagorio发现荧光染料可以传递比吸收的可见光多的可见光,他认为这一现象是转化部分的紫外光成为可见光的结果。在1929年德国科学家PaulKrais第一个进行了荧光增白实验,用天然化合物去增白亚麻织物。观察到被染色的亚麻织物在紫外光下产生强烈的荧光。Krais通过萃取天然化合物,即马栗树皮苷,得到了可产生荧光的物质6,7-二203羟基香豆素的糖苷(1)。但增白后的亚麻织物耐光性能很差,很快变成黄棕色,没有实用价值。
1930年人类首先用人工合成的方法得到香豆素结构的荧光增白剂(2)但应用性能仍不理想。
1934年英国ICI公司合成出第一只具有应用前景的荧光增白剂,它是4,4′-二氨基二苯乙烯-2,2-二磺酸双酰基衍生物(3),对纤维素织物和纸张可产生明显的增白效果,并申请了专利。尽管没有得到实际的使用,但它揭示了荧光增白剂合成领域的开始。
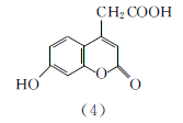
1935年,改进了天然化合物,合成了7-羟基香豆素乙酸(4),近一步确认了基本的荧光体系,并在1937年将7-羟基香豆素乙酸衍生物作为光过滤剂和保护剂用于食品工业。
1940年德国科学家B.Wendt等人发现了DSD酸双三嗪衍生物,将其作为荧光增白剂的基本结构(5),为荧光增白剂获得大规模的工业化生产奠定了良好的基础。
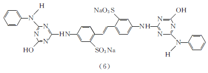
1941年德国Bayer公司以商品牌号BlankophorB将4,4′-双[(4-苯氨基-6-羟基-1,3,5-三嗪-2-基)氨基]二苯乙烯-2,2′-二磺酸二钠盐(6)推向市场。从此,实现了荧光增白剂的商品化工业生产。同时带动了荧光增白。
1942年Ciba公司推出双苯并咪唑为母体的荧光增白剂(7),用于棉和聚酰胺纤维的增白。
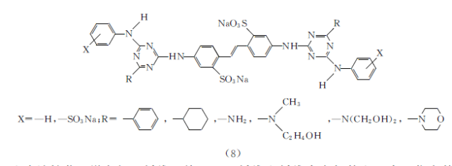
1943年Ciba公司对DSD酸三嗪类增白剂进行了深入的研究,由于其相对简便的合成及其产品良好的使用性能,推出了许多新型的荧光增白剂(8)。
这类水溶性荧光增白剂对纤维,特别是对纤维素纤维有良好的亲和力和优良的增白性能,并且在化学漂白期间对碱性介质稳定。用于纤维素纤维的增白和作为洗涤用品的添加剂,用于棉、亚麻织物的增白。
1944年IG公司生产了DSD酸衍生物(9),用于洗衣粉品中。
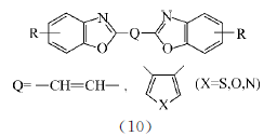
第二次世界大战后,荧光增白剂的研究与开发得到了快速发展。瑞士、英国、美国和日本的染料公司纷纷加入了荧光增白剂的研究与生产。与二苯乙烯不同母体结构的化合物大量涌现。1945年Ciba公司开发出双苯并唑衍生物(10)用于塑料和合成纤维增白。
1946年又推出7-氨基香豆素衍生物(11)用于羊毛和聚酰胺纤维增白。
1948年开发出1,4-双苯乙烯苯(12)和4,4′-双萘三唑二苯乙烯(13)为母体的衍生物,用于棉、羊毛及合成纤维的增白。
1949年Ilford发明了吡唑啉为母体的荧光增白剂(14),用于聚酰胺、聚丙烯腈纤维的增白。
1951年Geigy公司推出二苯乙烯三唑衍生物(15)。
1954年BASF公司开发出萘酰亚胺类衍生物(16)。
1954年Geigy公司研究出3-苯基-7-氨基香豆素衍生物(17)。
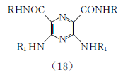
1957年又研究出吡嗪衍生物(18)。
随后的若干年中荧光增白剂的衍生物不断地出现,并在不同的新领域应用进行了广泛的探索。但从母体结构上仍然以DSD酸、香豆素、吡唑啉、二苯乙烯唑、双苯乙烯苯、萘二酰亚胺和杂环的研究为主。
对于荧光增白剂的需求量始终是稳定的增长,应用范围也不断地阔宽,质量和纯度的要求也越来越严格。许多国家纷纷加入到荧光增白剂的研究中来,如前苏联、波兰、前民主德国和捷克等。
我国荧光增白剂的生产始于20世纪80年代初,研究开发工作开始于60年代。在此之
前无论从品种还是规模上与发达国家相比都有相当大的差距。随着科研院所、大专院校加大了对荧光增白剂的研究力度,与生产企业的紧密配合,在十几年的过程中相继有多个具有较大影响的新品种投入工业化生产,填补了国内空白,提高了我国荧光增白剂研究水平和产品结构档次,缩小了与发达国家之间的差距。
1956年《染料索引》(ColorIndex)第二版正式将荧光增白剂列为染料的一个分类,
2000年版《染料索引》中登录荧光增白剂的化学结构或组成已近400个。世界市场流行的商品牌号大于2500个,归属于不少于15个化学结构类型,300种以上的化合物。有30多个国家生产荧光增白剂。
荧光增白剂的使用不断地渗透到其他的领域,应用范围也在扩展。如今,荧光增白剂已成为人们日常生活中不可缺少的一部分。
荧光增白剂的生产和消耗近些年快速增长。世界2000年的染料总需求量约90万吨,一般认为荧光增白剂的需求量是染料总量的10%~12%,预计荧光增白剂的年产量在10万吨左右。
荧光增白剂的使用量,纺织、洗涤和纸张行业几乎是三分天下,塑料(包括合成材料的原浆着色)行业的使用得到了快速发展